一文读懂圆度
一文读懂圆度
在“一文读懂圆柱度”中提到,圆柱度同时包含了三项:圆度、直线度和平行度。今天详谈圆度。
一、数学定义
圆度(Circularity, Roundness)用于控制球体、非球体(圆柱体、圆锥体等)零件的实际表面。圆度要求实际零件表面上每个圆(用平面去截取球体、圆柱体、圆锥体等,都能得到圆)上的所有点都在两个同心圆限定的区域内。这两个同心圆的半径差为圆度公差。
问题的关键在于如何确定这个截面圆。圆度用于控制球体时,需要找到一个点;圆度用于控制圆柱体或圆锥体时,需要找到一条不自相交的空间曲线。
在实际零件中,球体只能有模拟出的球心,不可能有理论上的理想球心,因此只说要找到一个点,而不说要找到球心。
在实际零件中,圆柱体和圆锥体也只能有模拟出的轴线,不可能有理论上的理想轴线,因此只说要找到一条空间曲线,而不说要找到轴线。
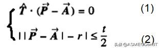
圆度的数学定义为:

圆度的数学定义式
其中:
P带->是零件实际截面圆上的点;
A带->是位置向量。对于球体,它是上述的点;对于圆柱和圆锥,它是上述空间曲线上的某个点;
T带^是单位向量。对于球体,它从上述的点指向所有的球径方向;对于圆柱体和圆锥体,它与上述空间曲线相切于点A带->;
-是向量的减法运算符号;
.是向量的数量积符号;
| |(里层的)符号表示求向量的模(大小),外层的是绝对值符号;
r是从点(对于球体)或空间曲线上的点A带->(对于圆柱或圆锥)到公差带中间圆的径向距离;
<=是比较数值大小的“小于等于”符号;
t是圆度公差值,它决定了两个同心圆的半径差;
t/2是t的二分之一。
式(1)的几何意义:两个向量的数量积等于0,表示这两个向量互相垂直;这就表明点P带->落在与向量T带^垂直,并且经过点A带->的平面上。这个平面就用来截取球体、圆柱体、圆锥体,从而和零件实际表面相交出截面圆。这个截面圆当然不会是几何意义上理想的圆,于是就有了圆度问题。
式(2)的几何意义:点P带->到点A带->的距离,公差带中间圆的半径r,这两者的差值,不能大于公差值t(由图纸规定)的一半。
判断零件的实际表面是否满足圆度公差要求,就在于判断是否存在一个点(对于球体)或一条空间曲线(对于圆柱体和圆锥体)能满足上述要求。
二、图纸标注
圆度用于控制球体见图1。圆度用于控制圆柱体和圆锥体见图2。

图1. 圆度用于控制球体(注意common center是前述的点,不是球心)

图2. 圆度用于控制圆柱体和圆锥体(注意:这里的axis应该理解成前述的空间曲线)
三、应用场合
圆度可以实现图3所示的效果。

图3. 圆度的控制效果
四、取值方法
ASME Y14.5默认采用包容原则,这样,圆度就等于直径公差(MMC状态下的Sm和LMC状态下的Sl,两者之间没有相对位置要求,详见之前的文章“尺寸公差和包容原则”。可以简单想象成小圆和大圆内切时,形成的最大间隙。参见图4)。

图4. 包容原则下的圆度公差
ISO标准体系通过ISO 2768-2(对应的国标GB/T 1184)给出机加工件的默认圆度公差,其规定也是等于直径公差,但额外又要求不超过ISO 2768-2规定的圆跳动公差(参见表1)。

表1. 圆度公差不能超过圆跳动公差
圆柱度注出值参考表2和图5。

表2. 圆柱度公差值及应用举例

图5. 圆度数值
根据实测及分析,在一般加工条件下,圆度误差占尺寸公差的30%以下,只有少数情况大于50%。也就是说,一般加工方法在保证尺寸公差的同时,也必然能保证相应的圆度精度。从图纸传达设计意图的角度看,考虑到ASME Y14.5和ISO 2768-2限定的圆度公差都等于直径公差,仅在“图3. 圆度的控制效果”所述情况下,才有必要注出圆度公差。
五、加工方法
外圆表面(轴)的常用加工方案:车削类、车磨类、特种加工类。
内圆表面(孔)的常用加工方案:车(镗)类、车(镗)磨类、钻扩铰类、拉削类和特种加工类。
常用加工方法能达到的圆度公差等级如表3.

表3. 加工方法可达到的圆柱度公差等级
零件的切削加工往往不是一次到位的,而是逐步减少背吃刀量分阶段完成的。切削加工可分为5个阶段:粗加工、半精加工、精加工、精密加工、超精密加工。不过请注意,对于绝大多数零件,一般只经过前三个阶段,到精加工为止。
切削加工划分阶段能带来的优点有:
(1) 避免毛坯内应力的释放影响加工精度。毛坯粗加工一遍,待内应力释放平衡后再精加工,即可减少内应力释放导致的精度丧失。
(2) 粗加工时,背吃刀量较大,因此切削力大,需要的夹紧力也大,这些都会引起弹性变形和热变形,从而影响零件精度。粗加工提高生产效率,精加工保证精度。
(3) 粗加工时发现、暴露的毛坯缺陷,有助于尽早决定取舍,避免浪费。
(4) 粗加工可安排在精度较低的机床上(成本也较低)。精密机床仅用于精加工,也有利于机床长期保持较高精度。
(5) 便于有些零件需要安排热处理工序。
六、测量方法
圆度的测量方法见图6:

图6. 圆度测量方法
测量每个截面时,都要先对中。然后将零件转动一周,通过探针的读数变化得出圆度值。
-
- 为什么中日两大歌后梅艳芳和中森明菜都对渣男近藤真彦恋恋不忘?
-
2026-01-16 16:54:04
-
- 美国独立战争:萨拉托加大捷装备低劣的大陆军为何能做到全歼英军
-
2026-01-16 16:51:50
-
- “解放长山岛”我军首次登海作战结果如何?谁是渡海第一船的英雄
-
2026-01-16 16:49:36
-
- 最美黄蓉翁美玲!爆火的时候被爆自杀,20年后法医道出当年的真相
-
2026-01-16 16:47:21
-
- 没想到“军绿色”裤子这么耐看,这样穿潮流多变,难怪潮人都喜欢
-
2026-01-16 16:45:07
-
- 何以笙箫默:优质男应晖,他的感情为什么一败涂地
-
2026-01-16 16:42:53
-
- 成都世运会 | “小众”的你,是我最深的爱
-
2026-01-16 16:40:38
-
- 商东外国语实验学校3.6亿打造国际化学校
-
2026-01-16 16:38:24
-
- 贫铀穿甲弹,没传说中那么邪乎
-
2026-01-16 16:36:09
-
- 美丽的阿拉尔
-
2026-01-16 16:33:55
-
- 正史三国第一武将是谁?不是吕布,也不是赵云
-
2026-01-16 16:31:41
-
- 千古名园——禹王台
-
2026-01-16 16:29:26
-
- 能抵5个师兵力的空气动力学家钱学森回国之路整整走了5年
-
2026-01-16 16:27:12
-
- 回忆杀!这些小时候的爆款零食,有你吃过的吗?
-
2026-01-16 11:28:10
-
- 巴西总统娇妻玛塞拉:从贴身秘书到总统夫人,外表美艳却臭名远扬
-
2026-01-16 11:25:55
-
- “批评家”石平:称中国是“纸老虎”,北大毕业却入日籍诋毁中国
-
2026-01-16 11:23:41
-
- 专家说收藏不能错过的六枚古币,90后没见过,00后没听过
-
2026-01-16 11:21:27
-
- 这6种人注定赚不到钱
-
2026-01-16 11:19:12
-
- 认识气体摩尔体积
-
2026-01-16 11:16:58
-
- 代表曼联在英超出场过的22位门将(一):最短仅2秒,罗梅罗只7场
-
2026-01-16 11:14:44



推荐三本超级好看的穿越小说、破敌国,平内乱,领骑军,战四方
李贺,可怜日暮嫣香落,嫁与春风不用媒